Squares of the spherical harmonics, |Yl,m|2, plotted as a function of theta and phi. Colour is according to the phase, with zero phase (real and positive) coloured red and phase of pi (real and negative) coloured cyan. z axis is up, x axis is toward and to the left, y axis is toward and to the right.
 |
| Y0,0 or s |
 |
 |
| Y1,0 or pz (NOT SQUARED) |
Y1,0 or pz (squared, as are all the rest) |
 |
 |
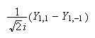
| Y1,1 or p1 |
Y1,-1 or p-1 |
 |
 |
or px |
or py |
 |
Y2,0 or  |
 |
 |
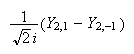
| Y2,1 or d1 |
Y2,-1 or d-1 |
 |
 |
or dxz |
or dyz |
 |
 |
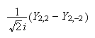
| Y2,2 or d2 |
Y2,-2 or d-2 |
 |
 |
or  |
or dxy |
 |
Y3,0 or  |
 |
 |
| Y3,1 or f1 |
Y3,-1 or f-1 |
 |
 |
or  |
or |
 |
 |
| Y3,2 or f2 |
Y3,-2 or f-2 |
 |
 |
or |
or fxyz |
 |
 |
| Y3,3 or f3 |
Y3,-3 or f-3 |
 |
 |
or  |
or  |